Musterrechnung alle Medien

Hier erklären wir Ihnen Punkt für Punkt unsere Rechnung. Fahren Sie dazu ganz einfach mit der Maus über jene gelb markierten Begriffe, die Sie interessieren.

Musterrechnung-alle-Medien - Seite 1

Verbrauchsermittlung

Ermittlung des Verbrauches anhand des alten und neuen Zählerstandes.

Ansatz

Damit ist der Preis pro Einheit gemeint, beispielsweise Rappen pro Kilowattstunden (kWh). Wird die verbrauchte Menge Energie (in kWh) mit dem Ansatz multipliziert, ergibt sich somit der Betrag.

Energie Casa Aqua

Unsere Kundinnen und Kunden können zwischen verschiedenen Stromprodukten wählen. So bestimmen Sie mit, wie nachhaltig der benötigte Strom hergestellt wird.

Energie Hochtarif & Energie Niedertarif

Bei der Verrechnung gibt es keinen Unterschied mehr zwischen den beiden Tarifen. Es gilt lediglich als Übersicht für unsere Kundinnen und Kunden wann Sie wie viel Strom verbrauchen.

Grundpreis

Mit dieser fixen monatlichen Gebühr decken wir einen Teil unserer Kosten für das Stromnetz und die Administration (Zähler, Ablesung, Verrechnung etc.). Sie lässt sich mit dem Abopreis fürs Handy vergleichen.

Messtarif

Mit diesem monatlichen Tarif decken wir die Kosten um den Bereich des Messwesens ab. Darin enthalten sind der Zähler mit der Messeinrichtung inkl. Kommunikation/Fernauslesung sowie auch die Datenaufbereitung und -bereitstellung.

Swissgrid Systemdienstleistungen

Die Netzgesellschaft Swissgrid hat den Auftrag, eine sichere Stromversorgung in der Schweiz zu gewährleisten. Beispielsweise ist sie dafür zuständig, dass der Ausfall eines grossen Kraftwerks durch andere Kraftwerke ausgeglichen werden könnte. Die Kosten werden durch eine Abgabe pro Kilowattstunde (kWh) Strom abgedeckt, die von Swissgrid bzw. vom Bund festgelegt wird.

Kostendeckende Einspeisevergütung (KEV)

Bisher ist die Stromproduktion aus erneuerbaren Energien (z. B. Sonnenenergie und Windkraft) noch teurer als in anderen Kraftwerken. Darum wird sie vom Bund mit einem Zuschuss unterstützt. Finanziert wird diese Förderung mit einer Abgabe pro Kilowattstunde (kWh) Strom.

Konzessionsabgabe Stadt Lenzburg

Mit dieser Abgabe pro Kilowattstunde (kWh) Strom entschädigen wir die Stadt Lenzburg dafür, dass wir das Stromnetz betreiben und unsere Leitungen im öffentlichen Raum verlegen dürfen.

Stromreserve

Gemäss Vorgabe des Gesetzgebers verrechnet Swissgrid weiterhin die Kosten für die Stromreserve des Bundes (Wasserkraftreserve, Reservekraftwerk, Notstromgruppen).

Zuschlag solidarisierte Kosten

Swissgrid erhebt einen neuen Tarif «Zuschlag für solidarisierte Kosten über das Übertragungsnetz», mit dem weitere nicht von Swissgrid verursachte Kosten verrechnet werden. Konkret geht es hier um die Netzverstärkungen in den unteren Netzebenen, welche gemäss Stromversorgungsgesetz seit 2025 ebenfalls von Swissgrid abgewickelt werden müssen. Der Tarif enthält zudem die vom Parlament beschlossenen Überbrückungshilfen für die Stahl- und Aluindustrie.

Umrechnung m3 in kWh

Wie viel Erdgas eine Kundin oder ein Kunde bezieht, misst der Verbrauchszähler in Kubikmetern (m3). Weil der Preis für Erdgas jedoch genau wie beim Strom in Rappen pro Kilowattstunden (kWh) angegeben ist, muss der vom Zähler gemessene Verbrauch in kWh umgerechnet werden.

CO2-Abgabe (90%)

Wir verrechnen diese Lenkungsabgabe im Auftrag des Bundes. Die höheren Kosten sollen die Konsumentinnen und Konsumenten dazu bewegen, weniger fossile Energie wie Heizöl oder Erdgas zu verbrauchen und somit den CO2-Ausstoss zu senken. Da es sich nicht um eine Steuer, sondern um eine Lenkungsabgabe handelt, bleibt sie nicht in der Staatskasse: Ein Drittel des Ertrags wird für energetische Gebäudesanierungen verwendet, der Rest anteilsmässig an die Bevölkerung und die Wirtschaft rückverteilt. Die Rückzahlung an die Haushalte erfolgt über eine Reduktion der Krankenkassenprämien. Wer Heizenergie spart, profitiert also. Bei unserem Produkt Premium aus 100% Biogas CH entfällt diese Abgabe.

Erdgas- / Biogasbezug

Diese Zahl gibt an, wie viel Erdgas die Kundin oder der Kunde während der Rechnungsperiode verbraucht hat.

Grundgebühr Gas

Mit dieser fixen monatlichen Gebühr decken wir einen Teil unserer Kosten für das Gasnetz und die Administration (Zähler, Ablesung, Verrechnung etc.). Die Höhe der Grundgebühr ist abhängig von der Zählergrösse, gemäss unserem Preisblatt. Sie lässt sich mit dem Abopreis fürs Handy vergleichen.
Musterrechnung-alle-Medien - Seite 2

Wasserverbrauch

Dieser Betrag deckt die Kosten fürs Wassernetz. Das Wasser selbst gehört der Allgemeinheit und kostet daher nichts. Bei Mieterinnen und Mietern wird der Wasserverbrauch über die Nebenkosten abgerechnet.

Pauschalgebühr Kanalisation

Für diese fixe monatliche Gebühr übernehmen wir im Auftrag der Stadt Lenzburg das Inkasso. Damit wird ein Teil der Kosten für die Kanalisation gedeckt.

Papierrechnung

Wenn Sie uns nichts anderes mitteilen, erhalten Sie unsere Energierechnung per Post und wir verrechnen Ihnen pro Rechnung CHF 2.50 exkl. Mehrwertsteuer. Im Kundenportal können Sie die Versandart auf E-Mail ändern oder Sie senden uns eine Mail mit Ihrer Kundennummer an energieverrechnung@swl.ch.

Total Objekt

Damit ist der gesamte Rechnungsbetrag gemeint.
Musterrechnung-alle-Medien - Seite 3

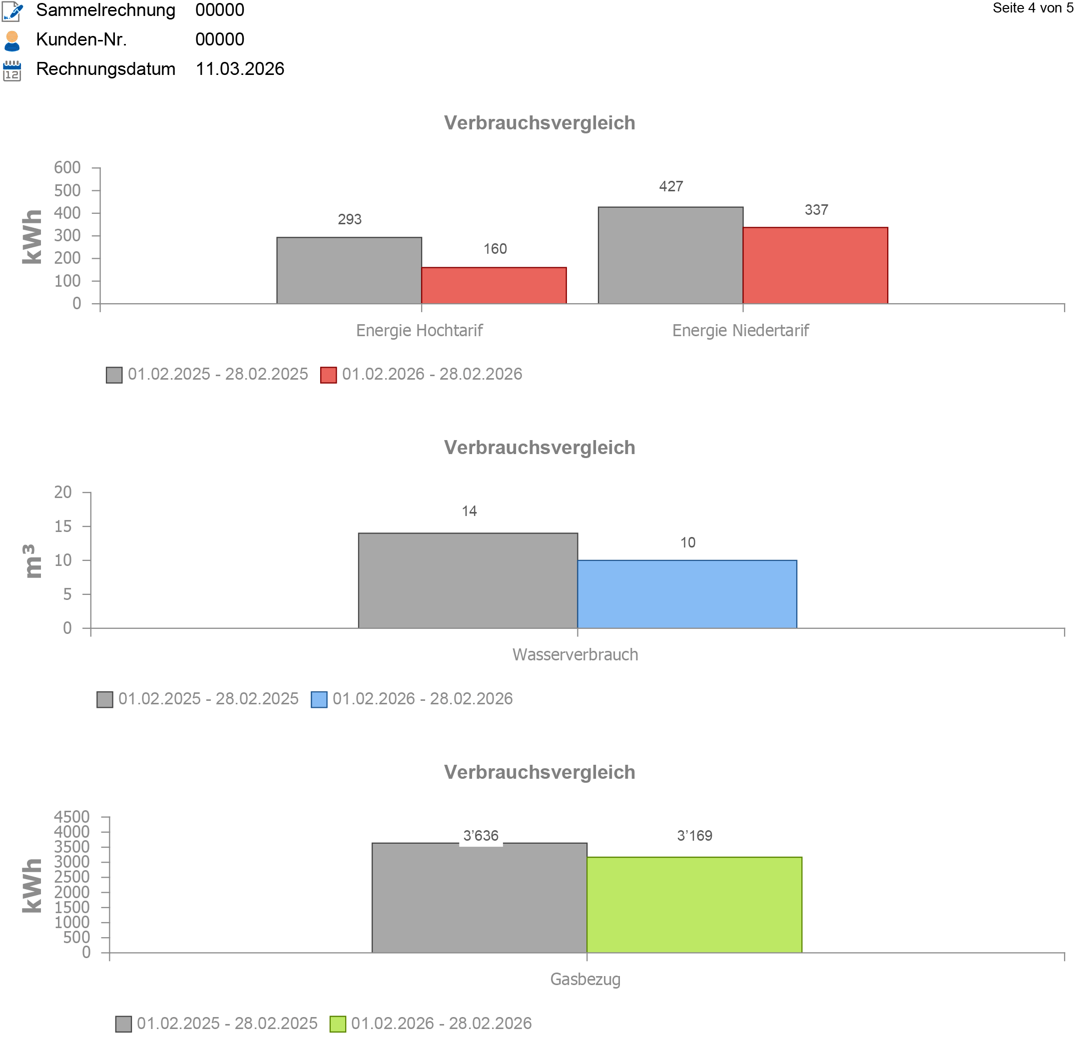
Verbrauchsvergleich

Die rechte Säule zeigt jeweils den Verbrauch in kWh (Wasser: m3) in der Rechnungsperiode, die linke Säule den Konsum in der Vorjahresperiode. So sehen die Kundinnen und Kunden sofort, wie sich ihr Verbrauch entwickelt hat.
Musterrechnung-alle-Medien - Seite 4